41 Aoa Network Diagram Generator
Critical-Path Method (CPM) for AOA Networks The CPM is a systematic scheduling method for AOA network. The CPM involves 4 main steps:. that is the longest in the network (Critical Path). Precedence Diagram Method (PDM) for AON Networks B (3) A (3) D (6) C (4) E (5) About Press Copyright Contact us Creators Advertise Developers Terms Privacy Policy & Safety How YouTube works Test new features Press Copyright Contact us Creators.
Pert Templates Aoa And Aon On Creately Creately Blog Aoa Project Management Diagram 50 Aon Network Diagram Generator Wm5c Diagram Gambar 20 Best Sample Of Aon Project Network Diagram Design Ideas Http Bookingritzcarlton Info 20 Best Sample Of Aon Proje Diagram Design Clever Definition Diagram Use Forward And Backward Pass To Determine Project Duration And […]

Aoa network diagram generator
17. Acronyms and Abbreviations 735 DBFRSC.. . . . .Dual.Preburner.Fuel.Rich.Staged.Combustion DCF. . . . . . . . . .Delayed.Catastrophic.Failure aoa network diagram. AoA network diagram is a network diagramming technique used for CPM (Critical Path Method) and PERT (Program Evaluation and Review Technique), which helps optimize the performance of tasks in a project. Creator. Viro. Save yourself the time and hassle of updating your entire critical path diagram, also known as a project network diagram, manually. Add formulas and custom data fields to shapes that will update proceeding values in real time based on changes you make in any location of your project flow.
Aoa network diagram generator. Activity on node diagram generator. An aoa network diagram or activity on arrow network diagram uses circles and arrows. Draw uml activity diagram online easy fast and collaborative. Arrows represent activities and the circles are nodes representing the start and finish points of these activities. Nov 02, 2021 · Also, the fuzzy-PID controller parameters based on the AOA recover the studied system and back it to nominal operation process faster than PID controller based TLBO, DE, and AOA. Figure 25 , Figure 26 and Figure 27 show the dynamic performance of area frequencies and the exchanged tie-line power when sharing wind energy to the studied system at. Coeur d'Alene Press, Coeur d'Alene, Idaho. 24,520 likes · 2,863 talking about this. The Coeur d'Alene Press is a community newspaper and full-service media and publishing company focused on the... Aoa network diagram generator. Both activity on arrow aoa and activity on node aon come under the program evaluation and review technique pert which is a well known method that is used to analyze various tasks when it comes to completing a project especially. In this episode we show how to use activity on arrow notation to draw network diagram.
Civil Engineering questions and answers. Q3. Draw an AOA network diagram. Find the project duration, the paths and the critical path (s). (10 Points) Activity Dependency Duration day (s) А 5 B A 3 с A 15 D B 1 E B 4 F m 0 A С 10 G D 2 H E, G, F 5 I H 4 J H 6 K H 18 L I.K, J 7 M L 3. Question: Q3. There are two different types of arrow diagrams: the arrow network (also called activity on arrow (AoA)) and the node network or activity on node (AoN), also known as a precedence diagram. AoA Diagram. This is the diagram we've been talking about, one in which the activities are represented by arrows. Save yourself the time and hassle of updating your entire critical path diagram, also known as a project network diagram, manually. Add formulas and custom data fields to shapes that will update proceeding values in real time based on changes you make in any location of your project flow. AON Diagram Template. Use Creately's easy online diagram editor to edit this diagram, collaborate with others and export results to multiple image formats. You can edit this template and create your own diagram. Creately diagrams can be exported and added to Word, PPT (powerpoint), Excel, Visio or any other document.
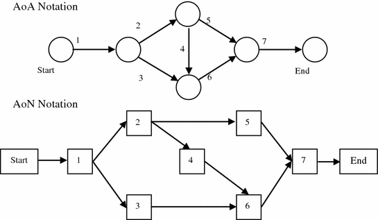
An AoA network diagram, or Activity on Arrow network diagram, uses circles and arrows. These diagrams are used for CPM (Critical Path Method) and PERT (Program Evaluation and Review Technique), which help to optimize the performance of tasks in a project. Network diagram is the tool for description, study and analysis of network knots and connections between these knots. Created network diagram can present you the existing information in comprehensible graphic view. Network diagrams are divided into Physical Network Diagrams and Logical Network Diagrams. Having both AoA and AoN networks of a project is an advantage since some planning and optimization techniques strictly require AoA format while others require AoN format. 3. AoN diagrams are generally easier to create that AoA diagrams. 4. When it comes to inexperienced users, AoN diagrams is easier to understand than AoA diagrams. 5. In this episode I continue drawing network diagram using AoA (or ADM) notation. I calculate project length and float starting with day 0. Meet the dummy acti...
Sep 02, 2021 · It will help you draw the network diagram and develop the project schedule. You may hear the term activity on arrow (AOA). This is a less commonly used technique in diagramming methods. The AOA method is a special case of the precedence diagramming method. AOA diagram only uses the Finish to Start relationship.
Project Network Diagrams AOA/AON • A project network illustrates the relationships between activities / tasks in the project. • Showing the activities as nodes or on arrows between event nodes are two main ways to draw those relationships. Two types of Network Logic:-• Activity on Arrow (AOA) • Activity on Node (AON) • With activities.
Create and visualize the components of a network online. Understand the flow of information and interactions among network devices. Start with a template and customize to your needs.
Uk essays literature review. Argumentative essay on first amendment, narrative essay on the day that you got your first pet jigsaw essay, train ride descriptive essay emotional intelligence free essay essay writing ielts academic essay builder app.Persuasive essay on slavery.
ALL YOUR PAPER NEEDS COVERED 24/7. No matter what kind of academic paper you need, it is simple and affordable to place your order with Achiever Essays.
Aoa Network Diagram Generator. Pasoebook.blogspot DA: 22 PA: 43 MOZ Rank: 65. A network diagram can be created by hand or by using diagram software; It was created in conceptdraw pro diagramming and vector drawing software using the seven management and planning tools solution from the
AoA Arrow Diagram. Visual Paradigm Online is available for creating professional-look Arrow Diagram. As a web-based Arrow Diagram maker, it is cross platform and can work very well on Windows, Mac OS, and Linux. The diagram editor comes with an intuitive interface that supports creating diagrams with drag-and-drop. Edit this Template.
SmartDraw's network diagram software is the fastest and easiest way to create a network drawing with standard network topology symbols. To begin, view examples and choose a template, add your network design symbols, input your information, and our network drawing software does the rest, aligning everything automatically and applying a professional look that is presentation-ready.
4. Drawing the Project Network • AOA - Activity on Arrow: networks show each activity as an arrow, and the nodes represent the starting and ending points • AON - Activity on Node: networks show each activity as a node and arrows show the immediate predecessor activities Dr. Mahmoud Abbas Mahmoud 4. 5.
This Activity on Arrow (AoA) network diagram template can help you: - Optimize the performance of tasks in a project. - Visualize the start and finish points of a project. - Design your own AoA diagram. Open this template to view an AoA network diagram example that you can customize to your use case.
Network Diagram Software Create Network Diagrams Easily Visualize network infrastructure of any complexity and scope. Collaborate with experts and the team on the same canvas to discuss, analyze, improve, and modify. Easily store data for the network infrastructure to create a single source of truth.
1,735 Followers, 438 Following, 443 Posts - See Instagram photos and videos from WYDaily (@wydaily)
Network analysis - activity on arc. To remind you of the problem we considered before it was a small project that consisted of 11 activities (as below):. Activity Completion number time (weeks) 1 Redesign product 6 2 Redesign packaging 2 3 Order and receive components for redesigned product 3 4 Order and receive material for redesigned packaging 2 5 Assemble products 4 6 Make up packaging 1 7.
We bring you the latest from hardware, mobile technology and gaming industries in news, reviews, guides and more. Follow us to satiate your 24/7 appetite for today's technology. Wccf (Where.
17. Acronyms and Abbreviations 735 DBFRSC.. . . . .Dual.Preburner.Fuel.Rich.Staged.Combustion DCF. . . . . . . . . .Delayed.Catastrophic.Failure
A network diagram can be created by hand or by using diagram software. It was created in conceptdraw pro diagramming and vector drawing software using the seven management and planning tools solution from the. Aoa network diagram generator. Visual Paradigm Online is available for creating professional-look Arrow Diagram.
Wind turbine design is the process of defining the form and configuration of a wind turbine to extract energy from the wind. An installation consists of the systems needed to capture the wind's energy, point the turbine into the wind, convert mechanical rotation into electrical power, and other systems to start, stop, and control the turbine.. In 1919, German physicist Albert Betz showed that.
aoa network diagram. AoA network diagram is a network diagramming technique used for CPM (Critical Path Method) and PERT (Program Evaluation and Review Technique), which helps optimize the performance of tasks in a project. Creator. Viro.
The PERT chart shows the logical connections and consequence of a set of tasks. PERT charts the time period for problem solving and the implementation plan for all activities along the critical path. The PERT chart is also known as a precedence diagram or project network diagram. "The Program (or Project) Evaluation and Review Technique, commonly abbreviated PERT, is a statistical tool, used.
Arrow Diagram, also known as 'activity on arrow diagram' and 'activity network diagram', can be used to show a sequence of events. The Arrow Diagram software provided by VP Online lets you create professional Arrow Diagrams in a snap. Create the event flow easily with drag and drop, format shapes with different colors and fonts, keep your.
A Network Diagram is a graphical way to view tasks, dependencies, and the critical path of your project. Boxes (or nodes) represent tasks, and dependencies show up as lines that connect those boxes. After you've switched views, you can add a legend, customize how your boxes appear, and print your Network Diagram.. To find the Network diagram view, choose View > Network Diagram.
0 Response to "41 Aoa Network Diagram Generator"
Post a Comment