40 On The Diagram To The Right, A Movement From Upper A To Upper B Represents A
Creating a Class Diagram from the Package Diagram The class diagram can be automatically created from the package diagram. 1. Make sure the package diagram called "CLD_1 - Banking" is the current diagram. 2. Right-click on the Member Institutions package (do not right-click on the diagram background) and the Package background menu opens. 3. On the diagram to the right a movement from upper a to upper b represents a. Learn vocabulary terms and more with flashcards games and other study tools. Answer to on the diagram to the right a movement from a to b represents a a. A decrease in the price of inputs. On the diagram to the right.
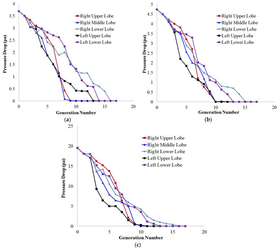
On the large piece of paper, draw two perpendicular lines to create four quadrants (right-upper, rightlower, left-upper, and left-lower), similar to Figure 1.7. Tape the piece of paper onto the abdomen of the torso model or a classmate

On the diagram to the right, a movement from upper a to upper b represents a
Refer to the diagram to the right. Assume that the graphs in this figure represent the demand and supply curves for used clothing, an inferior good.. On the diagram to the right, a movement from Upper A to Upper B represents a A. change in quantity demanded. B. decrease in demand. C. movement up the demand curve. Select the Venn diagram that visualizes A doubleheadarrow B. In the diagrams below, A is the set on the left, B is the set on the right. The color red represents being part of A doubleheadarrow B, the color white represents not being part of A doubleheadarrow B. lower left upper right lower right upper left b. Shear vorticity c. Earth vorticity (Coriolis) High vorticity is an indication of ageostrophic flow and upper level divergence (2) This is the best chart in assessing the trough/ ridge pattern. A trough is an indication of cooler weather and possible precipitation while a ridge is an indication of warmer weather and fair conditions.
On the diagram to the right, a movement from upper a to upper b represents a. of geologic cross sections of the upper mantle and crust at four different Earth locations, A, B, C, and D. Movement of the crustal sections (plates) is indicated by arrows, and the locations of frequent earthquakes are indicated by ∗. Diagrams are not drawn to scale. 10. Which diagram represents plate movement associated with b. 2 and D c. 3 and A 04 and B A single-celled organism is represented in the diagram below. An activity is indicated by the arrow. If this activity requires the use of energy, which substance would be the source of Wastes An investigation was set up to study the movement of water through a membrane. The results are shown in the diagram at the. on the diagram to the right, a movement from upper a to upper b represents a. 0 votes. 128 views. asked Dec 15, 2020 in Other by manish56 Expert (37.3k points) On the diagram to the right, a movement from B to C represents a. View full document. MyEconLab Module 2 Homework On the diagram to the right, a movement from A to B represents a A. Change in demand B. Movement up the demand curve C. Change in quantity demanded D. Decrease in demand. The diagram in panel b is an example of. On the diagram to the right, a movement from A to B represents a.
Aug 27, 2020 · b. 95th Percentile - Use the 95th percentile limit when designing to accommodate a full range of unrestricted movement. Unless the equipment in the workspace is sex-specific (i.e., used by only males or by only females), then the designer should consider the upper and lower limits for the combined male and female population. On the diagram to the right, a movement from A to B ( upward movement on the supply curve) represents a A. movement down the supply curve B. Change in supply C. decrease in supply D. change in quantity supplied. D. change in quantity supplied. Consider the market for the Nissan Xterra. Suppose the price of metal, which is an input in automobile. The right answer is option A, because a movement from B to C.. View the full answer. Transcribed image text: On the diagram to the right, a movement from B to C represents a S1 OA. change in supply. B. decrease in supply. OC. change in quantity supplied. On the diagram to the right a movement from a to b represents a 20.8.4 Flow Diagram. It is a plan, substantially to scale, of the factory or shop with the location of the machine, workplace, etc., indicated. On this, the movement of each product or component can be graphically represented, as illustrated in Fig. A5.
Nov 12, 2014 · Upper limb (i.e. arm, hand and/or finger) motor impairments are often persistent and disabling ; only half of all stroke survivors with an initial plegic (paralysed) upper limb regain some useful upper limb function after six months (Kwakkel 2003), and, of those with initial arm impairment, 50% have problems with arm function four years post. Refer to the diagram to the right. Assume that the graphs in this figure represent the demand and supply curves for used clothing, an inferior good.. On the diagram to the right, a movement from Upper A to Upper B represents a A. change in quantity demanded. B. decrease in demand. C. movement up the demand curve. The right answer is option A, because a movement from B to C.. View the full answer. Transcribed image text: On the diagram to the right, a movement from B to C represents a S1 OA. change in supply. B. decrease in supply. OC. change in quantity supplied. below of geologic cross sections of the upper mantle and crust at four different Earth locations, A, B, C, and D. Movement of the crustal sections (plates) is indicated by arrows, and the locations of frequent earthquakes are indicated by ∗. Diagrams are not drawn to scale. Which location best represents the boundary between the
The diagram represents the movement of the mantle under the earth's crust. Which process is represented by the diagram? answer choices. rotation. conduction. radiation. convection. Tags: Question 13 . SURVEY . 30 seconds . Report an issue . Q. A mid-ocean RIDGE is located at the boundary of two tectonic plates. Which diagram correctly models.
The flow in the upper troposphere is characterized as having. . . • Longwaves : There are typically 4-6 of these around the planet. The longwave pattern can last for as long as 2-3 weeks on
A)infiltration rate B)porosity C)capillarity D)water retention A)A B)B C)C D)D 7.A diagram of the water cycle is shown below. Letters A through D represent the processes taking place. Which arrow represents the process of transpiration?
A force is a push or pull that acts upon an object as a result of that objects interactions with its surroundings. In this Lesson, The Physics Classroom differentiates between the various types of forces that an object could encounter. Some extra attention is given to the topic of friction and weight.
On the diagram to the right, a movement from A to B represents a A. decreases in demand. B. change in demand. C. movement up the demand curve. D. change in quantity demanded. Answer. According to the law of demand there is an inverse relationship between price and quantity demand. The change in demand is caused by any factors other than its own.
On the diagram to the right a movement from A to B (downward movement on the demand curve) represents a. A. decrease in demand. B. change in demand Rating: 4,5 · 8 reviews On the diagram to the right, a movement from A to B represents a A. decreases in demand. B. change in demand. C. movement up the demand curve. D. change in quantity demanded.
South and/or east of the right entrance region/upper-level divergence/low-level pressure falls area, the southerly ageostrophic flow moving toward the falls area complements the environmental southerly flow already in place (southerly bold arrow labeled t1 in Fig. 2). Thus, an increase/ acceleration in the actual wind occurs near and south and.
Liberation definition, the act of liberating or the state of being liberated. See more.
On the diagram to the right a movement from upper a to c represents a. The diagram below which represents the fluid mosaic model of a cell membrane. Decrease in supply c. For instance if i have a do i just list the answered by a verified math tutor or teacher. On the diagram to the right a movement from a to c represents a. On the diagram to.
b. Shear vorticity c. Earth vorticity (Coriolis) High vorticity is an indication of ageostrophic flow and upper level divergence (2) This is the best chart in assessing the trough/ ridge pattern. A trough is an indication of cooler weather and possible precipitation while a ridge is an indication of warmer weather and fair conditions.
Select the Venn diagram that visualizes A doubleheadarrow B. In the diagrams below, A is the set on the left, B is the set on the right. The color red represents being part of A doubleheadarrow B, the color white represents not being part of A doubleheadarrow B. lower left upper right lower right upper left
Answer The correct answer is (A) Change in Quantity Supplied. Change in quantity supplied occurs when there is a change in its own price. This change in quantity supplied will result in movement along supply.. View the full answer. Transcribed image text: On the diagram to the right, a movement from A to B represents a OA. change in quantity.
On the diagram above, use thc appropriate circuit symbol to indicate a correct placement of a voltme- ter to determine the potential difference across the circuit. What is the total resistance of the circuit? 1. 0.42 Q 2. 2.4Q 3. 5.00 4. ton The diagram below represents an electric circuit con- Sisting of a 12-volt battery, a 3-ohm resistor, RI.
Answer: B. Change in supply Movement from Point B to p.. View the full answer. Transcribed image text: On the diagram to the right, a movement from B to C represents a S1 O A. change in quantity supplied. O B. change in supply S2 O c. movement down the supply curve. C O D. decrease in supply Price (dollars per units) m.
Diagram I below is a map showing the location and bedrock age of some of the Hawaiian Islands. Diagram II is a cross section of an area of the Earth illustrating a stationary magma source and the process that could have formed the islands. 17) Which of the Hawaiian Islands has the greatest probability of having a volcanic eruption A) Oahu B.
Sediment transport is the movement of solid particles (), typically due to a combination of gravity acting on the sediment, and/or the movement of the fluid in which the sediment is entrained. Sediment transport occurs in natural systems where the particles are clastic rocks (sand, gravel, boulders, etc.), mud, or clay; the fluid is air, water, or ice; and the force of gravity acts to move the.
Forces A and B have a resultant R. Force A and resultant R are represented in the following diagram. Which vector best represents force B? ANSWER: (2) 52. Two 10.0-newton forces act concurrently on a point at an angle of 180° to each other. The magnitude of the resultant of the two forces is ANSWER: (1) 0.00 N 53. A force of 3 newtons and a.
On the diagram to the right, a movement from A to C represents a.. on the diagram to the right, a movement from b to c represents. change in supply.... Which of the following events would cause the supply curve to increase from Upper S 1 to Upper S 3. a decrease in the price of inputs.
On the diagram to the right, a movement from B to C represents a a. Change in quantity supplied b. Decrease in supply c. Movement down the supply curve d.
The upper diagram to the right shows two. Chapter 14 and 15 with answers. On the diagram to the right a movement from upper b to c represents a. In addition to working with generic sets the plain a b and c from the previous examples and their relationships you may be asked to work with specific sets using venn diagrams to find new sets.
On the diagram to the right, a movement from B to C represents a Answer: Change in Supply. ---> If only the price of the product changes, there is a movement along the supply curve, which is an increase or a decrease in the quantity supplied.
A Wiggers diagram of ventricular systole graphically depicts the sequence of contractions by the myocardium of the two ventricles.Ventricular systole induces self-contraction such that pressure in both left and right ventricles rises to a level above that in the two atrial chambers, thereby closing the tricuspid and mitral valves—which are prevented from inverting by the chordae tendineae.
population of City B has a demand for widgets expressed by the equation Q = 200 - 40P. a. Draw the demand curves of City A and City B on separate graphs. Label your intercepts, where the y-intercept represents the price at which zero quantity is demanded. Answer: b. Draw the market demand curve of widgets for both City A and City B.
Oct 28, 2021 · Orientation of cross sections Before diving into the deep end, it’s important to understand the general orientation of axial anatomy. Every single cross section is viewed from the feet of the patient in a supine position (lying horizontally on his/her back).This means that structures on the right side of the patient’s body will be on the left side of the cross-sectional image, and vice-versa.
1. The movement of tectonic plates is inferred by many scientists to be driven by a. tidal motions in the hydrosphere b. density differences in the troposphere c. convection currents in the asthenosphere d. solidification in the lithosphere 2. The diagram below shows some features of Earth's crust and upper mantle.
0 Response to "40 On The Diagram To The Right, A Movement From Upper A To Upper B Represents A"
Post a Comment